The CAS key lab of quantum information makes a significant progress in quantum metrology. Under the lead of Prof. GUO Guangcan, LI Chuanfeng, XIANG Guoyong from the lab and collaborator Prof. YUAN Haidong from the Chinese University of Hong Kong obtained the ultimate precision for the estimation of all three components of a magnetic field with entangled probe states under the parallel scheme. The study was published online by Physical Review Letters on 8th July.
Quantum magnetometry, one of the most important applications in quantum metrology, aims to measure the magnetic field in highest precision. Although estimation of one component of a magnetic field has been well studied over many decades, the highest precision that can be achieved with entangled probe states for the estimation of all three components of a magnetic field remained open. In particular, the open problem included specific questions: how to balance the precision tradeoff among different parameters? What is the ultimate precision? Can this precision limit be achieved? If yes, how to achieve it?
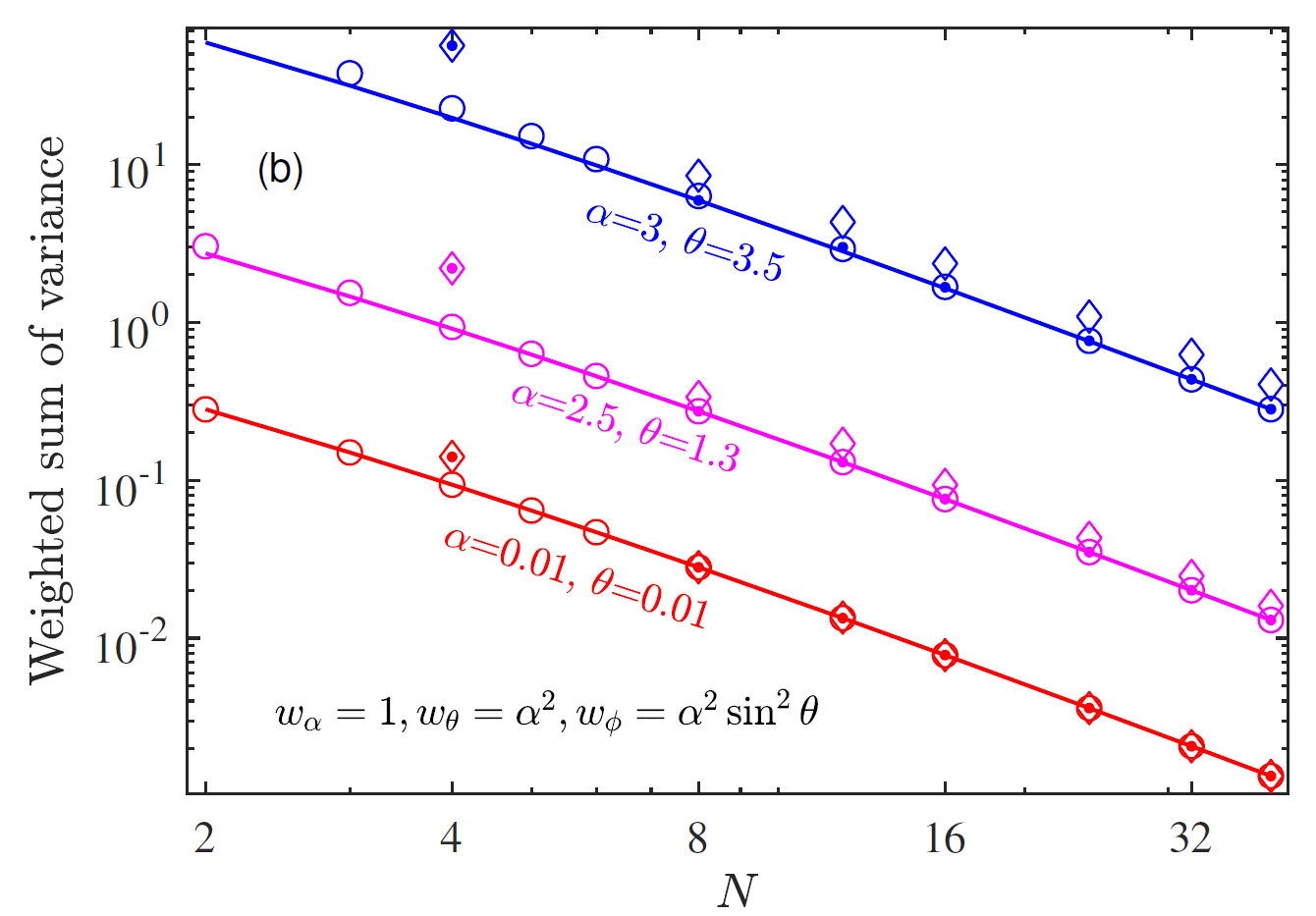
The researchers found that the tradeoff comes from the incompatibility of the optimal probe states and presented an approach to quantify the tradeoff induced by the incompatibility of the optimal probe states. With this approach they obtained the minimal tradeoff and the ultimate precision for the multi-parameter quantum magmetometry under the parallel scheme. They further demonstrated that this ultimate precision limit can be achieved and then constructed the optimal probe states and measurements to achieve this precision limit.


Ultimate precision limit for simultaneous estimation of the three components of a magnetic field. (Image by HOU Zhibo et al.)
The ultimate precision of quantum magnetometry under the parallel scheme is of fundamental interest and importance in quantum metrology. It can also be directly used as the benchmark for the performance of quantum gyroscope and quantum reference frame alignment. This approach connects the tradeoff directly to the constraints on the probe states and the generators, which can lead to many useful bounds in various scenarios of multi-parameter quantum estimation.
Dr. HOU Zhibo from USTC and Ph. D students CHEN Hongzhen and Dr. LIU Liqiang contributed equally to this work. This work was supported by the National Key Research and Development Program of China,the National Natural Science Foundation of China,Key Research Program of Frontier Sciences, CAS and the Fundamental Research Funds for the Central Universities.
Paper link:
https://journals.aps.org/prl/pdf/10.1103/PhysRevLett.125.020501